轉自http://mp.weixin.qq.com/s?__biz=MzU0NTAyNTQ1OQ==&mid=2247485402&idx=2&sn=d4c0d65b75ebca219397cf2263ca480a&chksm=fb727b06cc05f21082d6e469496e7155974415250404d1e7294730cf0a6130feadf27b73d082&mpshare=1&scene=23&srcid=0201GEiLSp6WiKUb8bybEBKk#rd
今天是二月的第一天,是一個月的新的開始,估計現在有很多學生都已經進入了漫長的寒假,希望你們在寒假空閑之余可以慢慢來閱讀我們的精彩推送。今天我們將的就是目標檢測,說到目標檢測,很多人都會想到許多經典的框架,說明你們都很厲害,對該領域都有深入的了解,今天主要聊聊細粒度的事!
首先我們來看兩幅簡單的圖片組:

圖1 黑腳信天翁

圖2 黑背信天翁
通過這兩組圖像,粗略觀察會發現差別不是很大,所以我們仔細的去看,就能發現一些細節性的差別。由此,引出了細粒度類別檢測。平時,我們在做目標檢測的過程中,也可以通過引入該思想,讓我們對目標只提取高判別性的特征,提高目標特征的表達,提升檢測結果的精度。
對了,今天主要說的內容都是基礎簡單,如果你是該領域的大佬,請跳過直接去做你自己的科研,或者當做休閑一刻快速瀏覽,謝謝!
先來說一個案例:

兩類不同的鳥,但是差別很小,主要應該就在眼部,怎么通過一只小鳥去尋找到對應的類別呢?
結果其實就是通過尋找出具有判別區域部分:

1、Pose-normalized correspondence

其中,黃色就是我們平時所說的邊界框,紅色就是語義區域部分。

首先就是找到這些部分,然后就可以通過特征表示出來。

下面是之前該領域的一些工作總結:


深度學習的進展:



2、深度表達用於細粒度
-
[Donahue et.al. ICML 2014] DPM detec7ons + DeCAF feature

-
[Zhang et.al. CVPR 2014] poselet detec7ons + deep network training from scratch

RNN

3、新框架

Object and Part detectors

邊界框約束:


高斯混合:
首先得到邊界框和部分的注解:

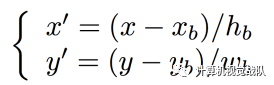
然后歸一化:

為每個部分先生成高斯混合

最后得到:

細粒度類別猶如下面的過程:

4、對比
DPM模型:

-
Multiple components
-
Deforma7on cost is a percomponent Gaussian prior.
-
R-CNN is a single-component model, mo7va7ng our MG and NP constraint. (New)

-
Nonparametric prior on keypoint configuration space.
-
Our non-parametric prior uses nearest neighbors on appearance space. (New)
5、結果
數據集:CUB-200-2011 (12k張圖像,200類,15個點)



[1] Berg et.al. POOF: Part-based one-vs-one features for fine-grained
categoriza7on, face verifica7on, and ahribute es7ma7on. In CVPR 2013.
[2] Chai et.al. Symbio7c segmenta7on and part localiza7on for fine-grained
categoriza7on. In ICCV 2013.
[3] Gavves et.al. Fine-grained categoriza7on by alignments. In ICCV 2013.
[4] Donahue et.al. DeCAF: A deep convolu7onal ac7va7on feature for
generic visual recogni7on. In ICML 2014.
微調過程其實對實驗結果有很大的幫助,也做了一組對比試驗來證明其有效性。

接下來就是部分區域定位的結果:


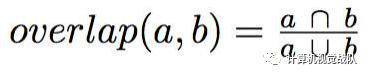
如果大於0.5就設定其為正確的。

[1] Azizipour et.al. Object detec7on using strongly-supervised deformable part models. In ECCV 2012.
后期其實還可以基於多區域部分來進行特征表達,這樣檢測的效果會更好一些。
